의왕 고천지구 대방 디에트르 센트럴, 일명 의왕 고천 디에트르가 11월 5일부터 청약을 앞두고 있습니다. 의왕 고천 디에트르는 2029년 개통을 목표로하는 인덕원-동탄 복선전철 의왕시청역 도보 역세권에 위치하고, 단지 바로 앞 초등학교도 26년 3월 개교 목표로 하고 있어 실거주자 및 투자를 생각하시는 분들의 큰 관심을 받고 있는데요. 오늘은 의왕 고천지구 대방 디에트르 센트럴 분양가, 청약, 분양 일정, 평면도 등에 대해 알아보겠습니다.

지금 아파트 관심 고객등록을 하시면 추첨을 통해 스타벅스 아메리카노를 제공하는 이벤트도 아래에서 진행중이니 바로 아래 이미지 클릭하시고, 이벤트 참여하셔서 스타벅스 커피 받아가세요!
의왕 고천지구 대방 디에트르 센트럴 분양가, 청약, 평면도 등 총정리
≣ 목차
1. 의왕 고천 디에트르 청약, 분양 일정

<의왕 고천 디에트르 모집공고>
아래 화살표를 클릭하시면 모집공고를 확인하실 수 있습니다. 지금 바로 모집공고 먼저 확인하시면 도움되실 거에요!
<의왕 고천 디에트르 분양 일정>
- 특별공급 : 11월 4일(월)
- 일반공급 1순위 : 11월 5일(화)
- 일반공급 2순위 : 11월 6일(수)
- 당첨자 발표 : 11월 14일 (목)
- 서류 접수 : 11월 15일(금) ~ 11월 21일(목)
- 계약 체결 : 11월 25일(월) ~ 11월 27일(수)
청약신청은 PC, 모바일을 통해 청약홈에서 09:00 ~ 17:30 간 신청이 가능합니다. 청약 신청 전에 반드시 아래 내용을 확인 및 준비하시고 청약 신청하시는 것이 도움이 됩니다. 청약 방법에 대해서 미리 참고하시고 신청하셔서 내 집 마련에 성공하시길 바랍니다.
<의왕 고천 디에트르 1순위 청약 조건>

- 수도권(경기도,서울특별시, 인천광역시)에 거주하는 만 19세 이상
- 세대주 아니어도 청약 가능
- 유주택자 1순위 청약 가능(2주택 이상은 2순위)
- 기존 주택 당첨여부 관계없이 청약 가능
- 하기 청약 통장 가입요건 충족(입주자 모집 공고일까지 청약통장 가입요건을 충족해야 합니다)
| 구분 | 의왕시 및 경기도 | 인천광역시 | 서울특별시 |
| 전용면적 85㎡ 이하 | 200만원 | 250만원 | 300만원 |
2. 의왕 고천 디에트르 분양가
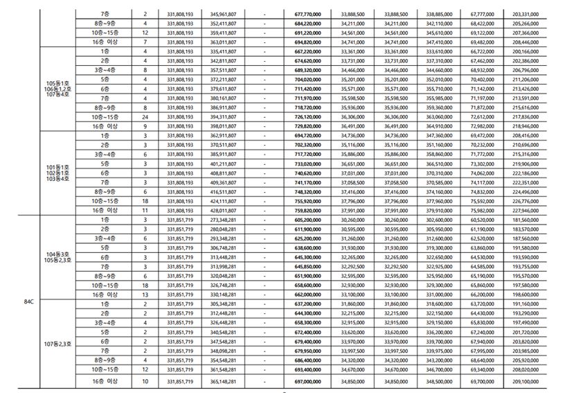
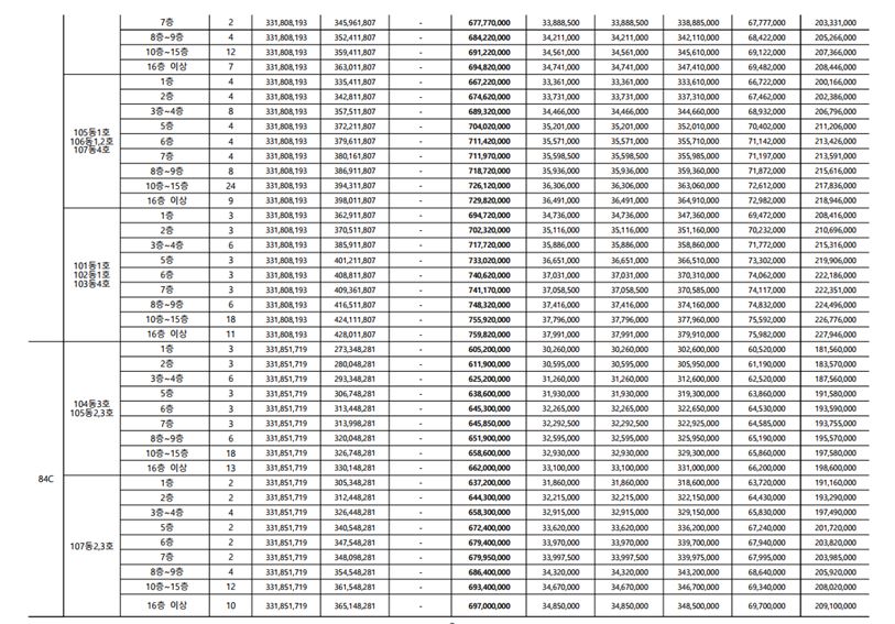
의왕 고천 디에트르 분양가는 동, 호수, 층마다 상이하며 각 평형별 분양가는 아래 금액부터 시작합니다.
<의왕 고천 디에트르 평형별 분양가>
- 84A : 1층 약 6억 9천 8백 만원 ~
- 84B : 1층 약 6억 3천 5백 만원 ~
- 84C : 1층 약 6억 5백 만원~
자세한 동, 호수, 층별 분양가는 아래에서 확인하실 수 있습니다.



3. 의왕 고천 디에트르 단지설계도 및 평면도
의왕 고천 디에트르 단지설계도는 아래와 같습니다. 의왕 고천 디에트르는 총 492세대의 단지로, 이 중 200세대를 일반 공급하는데요. 101동 ~ 107동 총 7개 동으로 이뤄져 있으며, 오봉산과 바로 맞닿아 있고, 단지 바로 앞에 초등학교가 세워질 예정입니다.

의왕 고천 디에트르는 84A,B,C 세 가지 타입으로 공급되며, 평형별 평면도는 아래에서 바로 확인하실 수 있습니다.
이상으로 의왕 고천지구 대방 디에트르 센트럴, 의왕 고천 디에트르 청약, 일반분양, 평면도, 분양가 등에 대해 알아보았습니다. 꼼꼼히 내용 확인하셔서, 내 집 마련에 꼭 성공하시길 바라겠습니다!
'5분 꿀정보' 카테고리의 다른 글
| 60대에 관절염 퇴치하고 되찾은 건강 비결! 타마플렉스 알아보아요 (3) | 2024.10.28 |
|---|---|
| 생방송투데이 맛의 승부사 김포 화갈탕, 김포 맛집 (2) | 2024.10.28 |
| 의왕 고천지구 대방 디에트르 센트럴, 의왕 고천 디에트르 평면도 (0) | 2024.10.25 |
| 설렘 in 한강, 서울 거주 미혼남녀 만남 이벤트, 우릴 위한 '나는 SOLO'! (1) | 2024.10.23 |
| 이븐 뜻 이븐하게 익지 않았어요 뜻은? (3) | 2024.10.21 |
